
สำหรับร้านค้าออนไลน์หนึ่งปัจจัยสำคัญที่ทำให้ร้านอยู่รอดและเติบโตได้ดีในยุคปัจจุบันที่มีการแข่งขันกันสูงนั่นก็คือคือ “การบริหารต้นทุน” ให้มีประสิทธิภาพ เพราะถือได้ว่าการบริหารต้นทุนเป็นหัวใจสำคัญของการทำธุรกิจไม่ว่าจะเป็นในส่วนออฟไลน์หรือออนไลน์ก็ตาม และหากธุรกิจของเราสามารถควบคุมต้นทุนได้ดี ก็จะส่งผลให้ธุรกิจของเรามีกำไรเพิ่มตามไปด้วยเช่นเดียวกัน วันนี้ Sellsuki มี 5 เทคนิคการบริหารต้นทุน สำหรับร้านค้าออนไลน์ มาฝากทุกคน

การคำนวณต้นทุนอย่างรอบคอบ แม่นยำเป็นสิ่งสำคัญสำหรับการทำธุรกิจร้านค้าออนไลน์ เพราะจะช่วยให้เราสามารถกำหนดราคาสินค้าได้อย่างเหมาะสม และควบคุมกำไรได้อย่างมีประสิทธิภาพ ซึ่งต้นทุนของธุรกิจ สามารถแบ่งออกได้เป็น 2 ประเภทหลักๆ คือ
ต้นทุนคงที่จะเป็นในส่วนของค่าใช้จ่ายที่ต้องจ่ายเป็นประจำ โดยไม่ขึ้นกับยอดการผลิตสินค้า เช่น ค่าเช่าพื้นที่หรือโกดังสินค้า, ค่าเงินเดือนพนักงานประจำ, ค่าอินเทอร์เน็ต หรือค่าสาธารณูปโภค
ตัวอย่างสถานการณ์ : ค่าเช่าโกดังราคา 20,000 บาทต่อเดือน เดือนมกราคมผลิตได้ 1,000 ชิ้น หากเดือนกุมภาพันธ์ผลิตเพิ่มเป็น 1,200 ชิ้น ราคาค่าเช่าโกดังก็ยังคงอยู่ที่ 20,000 บาทต่อเดือน
ในส่วนของต้นทุนผันแปรจะเป็นค่าใช้จ่ายที่มีการเปลี่ยนแปลงไปตามยอดขาย หากเราขายได้จำนวนมากขึ้น ต้นทุนในส่วนนี้ก็จะเพิ่มตามไปด่วย เช่น ค่าวัตถุดิบ, ค่าขนส่งสินค้า, หรือค่าการทำการตลาด
ตัวอย่างสถานการณ์ : เดือนมกราคาผลิต 1,000 ชิ้น ต้นทุนค่าวัตถุดิบ 50 บาทต่อชิ้น
ดังนั้น ต้นทุนค่าวัตถุดิบคือ 1000*50 = 50,000 บาท
เดือนกุมภาพันธ์เพิ่มอัตราการผลิตเป็น 1,200 ชิ้น
ต้นทุนการผลิตจะเปลี่ยนแปลงไปตามระดับการผลิตที่มากขึ้น อยู่ที่
1,200*50 = 60,000 บาท เป็นต้น
ตัวอย่าง: ถ้าขายเสื้อผ้าออนไลน์
ต้นทุนสินค้า = 100 บาท
ค่าขนส่ง = 30 บาท
ค่าแพ็กเกจจิ้ง = 10 บาท
ค่าโฆษณาต่อชิ้น = 20 บาท
ต้นทุนต่อชิ้น = 160 บาท
ถ้าตั้งราคาขายที่ 250 บาท
กำไรต่อชิ้น = 250 - 160 = 90 บาท
จุดคุ้มทุน (break even point) หมายถึง จำนวนของสินค้าที่ต้องขายเพื่อให้รายได้กลับมาเท่าทุน แต่จะยังไม่ได้กำไรเช่นเดียวกัน
การใช้เครื่องมือในการคำนวณต้นทุนจะช่วยทำให้เราสามารถทำงานได้ง่ายขึ้น โดยเครื่องมือที่ใช้มีทั้ง Google Sheets หรือ Excel ที่ช่วยแยกประเภทต้นทุนและคำนวณต้นทุนต่อชิ้น หรือจะเป็น แอปจัดการบัญชี (FlowAccount, Peak Account) ซึ่งเหมาะสำหรับร้านค้าออนไลน์ที่ต้องการจัดการต้นทุนอย่างมืออาชีพ
การคำนวณต้นทุนที่ถูกต้องจะช่วยให้เราตั้งราคาขายได้อย่างแม่นยำ สร้างกำไรได้อย่างมั่นคง และทำให้ธุรกิจเติบโตอย่างยั่งยืน โดยการเช็กต้นทุนสินค้าและค่าขนส่งทุกเดือน, เปรียบเทียบต้นทุนจากซัพพลายเออร์หลายราย และวิเคราะห์ค่าโฆษณาและปรับกลยุทธ์ให้คุ้มค่ามากที่สุด

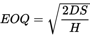
การลดต้นทุนสินค้าถือเป็นหนึ่งในกลยุทธ์สำคัญของร้านค้าออนไลน์ เพราะต้นทุนที่ต่ำลงนั่นหมายความว่ากำไรจะเพิ่มมากขึ้น และความสามารถในการแข่งขันที่สูงขึ้น โดยสามารถใช้เทคนิค EOQ (Economic Order Quantity) ได้ ซึ่ง EOQ หรือ Economic Order Quantity หมายถึง ปริมาณหรือจำนวนการสั่งซื้อสินค้าที่เหมาะสม คุ้มค่า เพื่อไม่ให้เกิดต้นทุนจมจากการสต็อกสินค้าในคลังสินค้า โดยสูตรที่ใช้คำนวณค่า Economic Order Quantity

โดยแทนค่าในสูตรด้วย
EOQ = จำนวนการสั่งซื้อที่ประหยัด
D = ปริมาณความต้องการสินค้าทั้งปี
S = ค่าใช้จ่ายในการสั่งซื้อแต่ละครั้ง
H = ต้นทุนในการเก็บรักษาต่อหน่วยของทั้งปี
สำหรับความแม่นยำของสูตรนี้จะขึ้นอยู่กับว่าเรารู้จักปัจจัยที่กระทบต่อการคำนวณและต้นทุนต่างๆ ของเรามากแค่ไหน โดยปัจจัยเหล่านี้คือ ปัจจัยที่ธุรกิจต้องรู้เพื่อให้สามารถคำนวณหา EOQ ได้แม่นยำมากขึ้น

การทำตลาดเป็นสิ่งจำเป็นสำหรับธุรกิจ แต่ไม่ได้หมายความว่าเราจะต้องใช้งบประมาณสูงเสมอไป ในการทำการตลาดแบบคุ้มค่า คือการเลือกใช้เครื่องมือและกลยุทธ์ที่ช่วยให้เราได้ผลลัพธ์สูงสุดโดยใช้ต้นทุนต่ำที่สุด ซึ่งเราขอแชร์ 3 เทคนิคทำการตลาดแบบคุ้มค่า
โซเชียลมีเดียถือเป็นเครื่องมือทรงพลังที่ใช้โปรโมทธุรกิจได้ฟรีหรือใช้ต้นทุนต่ำ โดยเราสามารถทำได้ด้วยการสร้างคอนเทนต์ที่มีคุณค่า โดยแชร์ความรู้ รีวิวสินค้า หรือเคล็ดลับที่เกี่ยวข้องกับแบรนด์ หรือทดลองใช้ UGC (User-Generated Content) เช่น การรีวิวจากลูกค้าจริง , ใช้กลยุทธ์ Organic Reach แทนการยิงแอด โดยการโพสต์อย่างสม่ำเสมอ เพื่อเพิ่มการมองเห็นแบบธรรมชาติ, ใช้ Hashtags ที่เกี่ยวข้องเพื่อเพิ่มการเข้าถึง หรือการร่วมมือกับอินฟลูเอนเซอร์รายเล็ก (Micro-Influencers) ที่มีค่าใช้จ่ายน้อยแต่มีอิทธิพลต่อกลุ่มเป้าหมาย
การบอกต่อจากลูกค้า (Word of Mouth) เป็นกลยุทธ์ทรงพลังที่ไม่ต้องเสียค่าโฆษณา ซึ่งช่วยกระตุ้นให้ลูกค้ารีวิวหรือแชร์ประสบการณ์ โดยเราสามารถขอให้ลูกค้าโพสต์รีวิว และเราให้สิทธิพิเศษ เช่น คูปองส่วนลดแก่ลูกค้า
เราสามารถใช้เครื่องมือฟรีช่วยในการทำการตลาดได้เช่น Canva เพื่อช่วยออกแบบกราฟิก, ChatGPT / Grammarly ในการช่วยเขียนคอนเทนต์ให้ดึงดูด, Google My Business เพื่อเพิ่มโอกาสให้คนค้นหาธุรกิจเจอผ่าน Google ฟรี หรือการใช้โฆษณาแบบ Low-Cost แต่ได้ผลดี เช่น การทดลองใช้ Facebook Ads หรือ TikTok Ads ในงบที่จำกัด แล้วดูผลลัพธ์ก่อนเพิ่มงบสำหรับการโฆษณา

ในการบริหารสต็อกสินค้าให้มีประสิทธิภาพ ไม่เพียงแต่ช่วยลดต้นทุน แต่ยังสามารถช่วยให้ธุรกิจมีเงินหมุนเวียนดีขึ้น ช่วยลดของเสีย และเพิ่มกำไร ได้อีกด้วย
สำหรับการจัดการสต็อกเพื่อลดข้อผิดพลาด ลำดับแรกเลยคือการที่อย่า!! จดในกระดาษเพราะเสี่ยงต่อการคำนวณผิดพลาด โดยสามารถใช้โปรแกรมจัดการสต็อก เช่น FlowAccount, J&T Stock, หรือ Excel, ตั้งระบบแจ้งเตือนสินค้าคงเหลือ และการติดตามว่าสินค้าชนิดไหนขายดี ขายช้า เพื่อวางแผนการสั่งของให้เหมาะสม
หลักการ FIFO คือ การขายสินค้าที่เข้าสต็อกก่อนออกไปก่อน ซึ่งเหมาะกับสินค้าที่มีวันหมดอายุ เช่น อาหาร, เครื่องสำอาง ช่วยจัดวางสินค้าบนชั้นวางให้เห็นชัดและหยิบง่าย และหมุนเวียนสินค้าใหม่เข้ามาเสมอ
สำหรับร้านค้าออนไลน์ในบางครั้งอาจมีการตุนสต็อกไว้จำนวนมาก หากมีสินค้าที่ค้างสต็อกไว้นานอาจจะต้องใช้กลยุทธ์ระบายออกเพื่อไม่ให้ทุนจน ซึ่งสามารถทำได้ทั้งการจัด Flash Sale ลดราคาสินค้าระยะสั้นเพื่อกระตุ้นยอดขาย, แพ็กสินค้าเป็นเซ็ตเช่น 1 แถม 1 รวมถึงการแจกของแถมกับสินค้าขายดีเพื่อให้ของที่ค้างอยู่ในสต็อกได้ระบายออกไป
ในการขายของเวลาจะสั่งสินค้ามาเพิ่มอย่าสั่งตามความรู้สึกตัวเองเด็ดขาด! ให้ใช้ข้อมูลในการคาดการณ์แทน ซึ่งสามารถทำได้โดยดูว่ายอดขายย้อนหลังว่าช่วงไหนสินค้าขายดี ช่วงไหนขายได้ช้า หรือการใช้ Google Trends หรือ Data จากแพลตฟอร์มขายของ มาช่วยวิเคราะห์ รวมถึงสั่งของแบบ Just-in-Time (JIT) เพื่อลดสต็อกค้าง

สำหรับร้านค้าออนไลน์ ต้นทุนค่าขนส่งเป็นหนึ่งในค่าใช้จ่ายหลักที่มีผลต่อกำไรของเราหากเลือกขนส่งไม่เหมาะสม อาจทำให้ต้นทุนบานปลาย หรือทำให้ลูกค้าไม่พอใจจากการจัดส่งที่ล่าช้า ดังนั้น การเลือกวิธีขนส่งที่ คุ้มค่า รวดเร็ว และเหมาะสมกับประเภทสินค้า จึงเป็นเรื่องสำคัญ
ในการขายของอย่าเลือกขนส่งเพราะความเคยชิน ว่าปกติใช้จากขนส่งนี้เพียงอย่างเดียวก็เลยใช้ขนส่งนี้ต่อ แต่ควรเช็กเรทค่าขนส่งจากหลายๆ เจ้าก่อน ซึ่งสามารถใช้แพลตฟอร์มเปรียบเทียบค่าขนส่ง และบางทีในบางขนส่งมี ส่วนลดพิเศษ สำหรับร้านค้าที่ส่งของเยอะ
ลูกค้าหลายคนก็ชอบการจ่ายเงินปลายทาง (COD) เพราะสะดวกและมั่นใจมากขึ้น เราก็ใช้ความชอบของลูกค้านั่นแหละตอบสนองความต้องการของเขา โดยเลือกขนส่งที่มีบริการ COD และค่าธรรมเนียมต่ำ และเช็กว่าแพลตฟอร์มที่คุณขายมีโปรโมชั่นค่าธรรมเนียม COD หรือไม่
สำหรับสินค้าแต่ละประเภทต้องใช้ขนส่งที่ต่างกัน เช่น ของสดควรใช้ขนส่งเย็น หรือของหนักต้องใช้ขนส่งที่รองรับได้
ของฟรีใครๆ ก็ชอบ เราก็จัดโปรโมชันนี้ให้ลูกค้าด้วยเลย ถ้าคิดว่าส่งให้ลูกค้าฟรีเราก็ขาดทุนสิ? แต่เดี๋ยวก่อนเราก็สามารถเพิ่มค่าส่งในราคาสินค้าและทำเป็นโปร “ส่งฟรี” ก็ได้นิ่ หรือใช้โค้ดส่งฟรีจาก Shopee/Lazada เพื่อลดต้นทุนก็ได้เหมือนกัน
ลูกค้าหลายคนอยากได้ของไว หากร้านของเรามีบริการส่งแบบด่วนก็เป็นการสร้างประสบการณ์ที่ดีให้แก่ลูกค้า ซึ่งขนส่งหลายบริการก็มีบริการรับของและส่งภายในวันนั้น เราก็เลือกขนส่งเหล่านั้นในการส่งสินค้าได้เช่นเดียวกัน
สำหรับร้านค้าออนไลน์ ความสำเร็จไม่ได้วัดกันแค่ยอดขายที่เพิ่มขึ้น แต่คือการทำให้ธุรกิจมีกำไรอย่างยั่งยืน หากคุณสามารถบริหารต้นทุนได้อย่างมีประสิทธิภาพ ไม่ว่าจะเป็นการคำนวณต้นทุนที่แม่นยำ การลดต้นทุนสินค้า การใช้กลยุทธ์การตลาดที่คุ้มค่า หรือการเลือกขนส่งที่ตอบโจทย์ คุณก็จะสามารถเพิ่มอัตรากำไร ลดความเสี่ยง และทำให้ธุรกิจเติบโตได้อย่างมั่นคงในระยะยาว เพราะการขายที่ดี ไม่ใช่แค่ "ขายให้ได้" แต่ต้อง "ขายให้มีกำไร" และพร้อมแข่งขันในตลาดออนไลน์ที่เปลี่ยนแปลงอยู่ตลอดเวลา
เพื่อไม่ให้พลาดความรู้ และสาระสำคัญแบบนี้ก่อนใคร อย่าลืมกดติดตามน้องสุกิบนช่องทางต่างๆ เหล่านี้ Facebook, Youtube, Instagram และ TikTok
อ่านบทความอื่นๆ เพิ่มเติมจาก Sellsuki ได้ที่ : บทความที่น่าสนใจ